ЕГЭ
математика

профильный уровень

банк заданий

Обсуждение заданий в группах:

репетитор

Индивидуальная онлайн подготовка к ЕГЭ - 2025 по математике с профессиональным специалистом.

Легко, понятно, эффективно!

Тел.: 8-913-866-07-50 (Telegram, WhatsApp).

№7 выражения

1. Найдите значение выражения

  

Ответ: -7

2. Найдите значение выражения

  

Ответ: 12

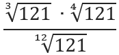
3. Найдите значение выражения

  

Ответ: 5

4. Найдите значение выражения

  

Ответ: 11